Вторник, 07.04.2026
Космическая погода на текущий час
Вход в систему не произведен
 Войти /  Регистрация

Секция Совета РАН по космосу

< Ученые зарегистрировали первую с октября серию заметных солнечных вспышек
08.02.2018 22:22 Давность: 8 yrs
Категория: Экзопланеты
Количество просмотров: 8926

У оранжевого карлика LP415-17 обнаружены три небольшие транзитные планеты



В рамках 13-й наблюдательной кампании «Кеплер» обнаружил у звезды LP415-17 три транзитных планеты с радиусами 1.9, 2.6 и 1.8 радиусов Земли и орбитальными периодами 6.34, 13.85 и 40.72 земных суток. Орбита внешней планеты пролегает вблизи внутреннего края обитаемой зоны.


Владислава Ананьева

Красные и поздние оранжевые карлики – очень привлекательная цель для поисков рядом с ними небольших планет, поскольку из-за своей малой массы такие звезды заметнее откликаются на гравитационное влияние своих планет, чем солнцеподобные звезды, а из-за меньшего радиуса транзиты планет оказываются глубже. Особенно эффективен в поисках небольших планет космический телескоп им. Кеплера – благодаря высочайшей точности астрометрии и отсутствию атмосферы он может находить транзитные планеты с радиусом до 1 радиуса Земли и даже меньше. Поискам благоприятствует широчайшая распространенность небольших планет (суперземель и мини-нептунов) у звезд малой массы. 

22 января 2018 года в Архиве электронных препринтов была опубликована статья, посвященная открытию у звезды LP415-17 трех транзитных планет. Открытие было сделано космическим телескопом им. Кеплера в рамках 13-й наблюдательной кампании расширенной миссии K2, проходившей с 8 марта по 27 мая 2017 года. 

LP415-17 (EPIC 210897587) – звезда главной последовательности спектрального класса K6 V. Ее масса оценивается в 0.65 +0.06/-0.03 солнечных масс, радиус – в 0.58 +0.06/-0.03 солнечных радиусов, светимость примерно в 10 раз меньше светимости Солнца. Период вращения вокруг своей оси, составляющий 29.6 ± 0.4 земных суток, говорит о зрелом возрасте. Звезда удалена от нас на 82 +29/-12 пк. 

Кривая блеска LP415-17 демонстрирует три транзитных сигнала с периодами 6.342 ± 0.002, 13.850 ± 0.006 и 40.718 ± 0.005 земных суток и глубиной, соответствующей планетам с радиусами 1.8 +0.2/-0.1, 2.6 +0.7/-0.2 и 1.9 +0.7/-0.2 радиусов Земли. Звезда прошла стандартную процедуру валидации (исключения астрофизических явлений, способных имитировать транзитные сигналы). Вероятность того, что перед нами ложное открытие, по оценкам авторов не превышает 0.4%. 

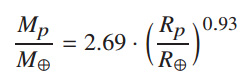
Авторы попытались оценить массы планет, исходя из эмпирического соотношения масса-радиус для планет с радиусами от 1.5 до 4 радиусов Земли:

Они получили значения (от внутренней планеты к внешней) ~4.7, ~6.5 и ~4.9 масс Земли. Планеты таких масс будут наводить на свою звезду колебания лучевой скорости с полуамплитудами ~2.2, ~2.3 и ~1.2 м/с, соответственно. Такие величины вполне доступны новому поколению высокоточных спектрографов, например, таких, как ESPRESSO, установленный на VLT

Исследователи оценили эффективные температуры планет в 708 +38/-31, 583 +52/-35 и 381 +47/-25 К. Температурный режим внешней планеты оказывается промежуточным между температурными режимами Меркурия и Венеры. Благодаря яркости родительской звезды (+9.5 в инфракрасной полосе K) планеты оказываются привлекательной целью для космического инфракрасного телескопа им. Джеймса Вебба, который сможет исследовать свойства их атмосфер методами трансмиссионной спектроскопии. 

Источник: https://arxiv.org/pdf/1801.06249.pdf


Комментарии

Комментарии

Вход в систему

Введите имя пользователя и пароль для входа в систему:
Вход в систему

Забыли пароль?

Ольберса парадокс

(назван по имени немецкого астронома Генриха Ольберса - H. Olbers 1758-1840) Парадокс Ольберса состоит в том, что если Вселенная бесконечна и вечна, то... [далее]

Rambler's Top100